[单选题]已知a=(3,2),b=(-4,6),则=()。
A0
Bπ/2
C3π/2
Dπ
参考答案:B
[单选题]在自然数1、2、…、100中任取一个数能被3整除的概率是()。
A![]()
B![]()
C![]()
D![]()
参考答案:C
[单选题]已知数列前n项和Sn=1/2(3n2-n)则第5项的值是()。
A7
B10
C13
D16
参考答案:C
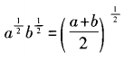
[单选题]已知a,b为任意正实数,则下列等式中恒成立的是()。
Aab=ba
B2a+b=2a+2b
C
Dalgb=blga
参考答案:D
[单选题]与直线ι:3x+2y+1=0相交但不垂直的直线方程是( )
A2x-3y+5=0
B4x-6y+23=0
C3x-2y+1=0
D3x+2y+2=0
参考答案:C
[单选题]
( )
A![]()
B![]()
C![]()
D![]()
参考答案:D
[单选题]把6个苹果平均分给3个小孩,不同的分配方法有()。
A90种
B30种
C60种
D15种
参考答案:A
[单选题]已知M(3,-1),N(-3,5),则线段MN的垂直平分线方程为( )
Ax-y-2=0
Bx+y-2=0
C3x-2y+3=0
Dx-y+2=0
参考答案:D
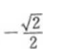
[单选题]点P(2,5)到直线x+y-9=0的距离是()
A
B2
C![]()
D
参考答案:C
1、凡本网注明“来源:浙江成考教育网”的所有作品,均为浙江成考教育网合法拥有版权或有权使用的作品,未经本网授权不得转载、摘编或利用其它方式使用上述作品。已经本网授权使用作品的,应在授权范围内使用,并注明“来源:浙江成考教育网”。违反上述声明者,本网将追究其相关法律责任。
2、凡本网注明“来源:XXX(非浙江成考教育网)”的作品,均转载自其它媒体,转载目的在于传递更多信息,并不代表本网赞同其观点和对其真实性负责。
3、本网不保证向用户提供的外部链接的准确性和完整性,该外部链接指向的不由本网实际控制的任何网页上的内容,本网对其合法性亦概不负责,亦不承担任何法律责任。