[单选题]在等差数列{an}中,已知a1+a2+a3+a4+a5=15,则a3=()。
A3
B4
C5
D6
参考答案:A
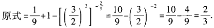
[单选题]
( )
A3
B1/2
C3或7
D3或9
参考答案:D
[单选题]设函数f(x)=x2+(m-5)x+5是偶函数,则m=()。
A-3
B1
C3
D5
参考答案:D
[单选题]函数f(x)=2x2+mx+3,当
则f(1)=()。
A-3
B13
C7
D由m而定的常数
参考答案:B
[单选题]已知等比数列a1=1,a9=25,则a5=()。
A25
B-5
C±5
D5
参考答案:C
[单选题]下列各选项中,正确的是()。
Ay=x+sinx是偶函数
By=x+sinx是奇函数
Cy=|x|+sinx是偶函数
Dy=|x|+sinx是奇函数
参考答案:B
[单选题]抛物线的顶点是双曲线9x2-4y2=36的中心,而焦点是双曲线的左顶点,则抛物线的方程为( )
Ay2=-4x
By2=-8x
Cy2=-9x
Dy2=-18x
参考答案:B
[单选题]椭圆的焦距等于长轴的一个端点与短轴的一个端点之间的距离,则椭圆的离心率为( )
A![]()
B![]()
C![]()
D![]()
参考答案:B
[单选题]以点(0,1)为圆心且与直线
相切的圆的方程为( )
Ax2+(y—1)2=2
Bx2+(y-1)2=4
Cx2+(y-1)2=16
D(x-1)2+y2=1
参考答案:B
[问答题]
参考答案:
1、凡本网注明“来源:浙江成考教育网”的所有作品,均为浙江成考教育网合法拥有版权或有权使用的作品,未经本网授权不得转载、摘编或利用其它方式使用上述作品。已经本网授权使用作品的,应在授权范围内使用,并注明“来源:浙江成考教育网”。违反上述声明者,本网将追究其相关法律责任。
2、凡本网注明“来源:XXX(非浙江成考教育网)”的作品,均转载自其它媒体,转载目的在于传递更多信息,并不代表本网赞同其观点和对其真实性负责。
3、本网不保证向用户提供的外部链接的准确性和完整性,该外部链接指向的不由本网实际控制的任何网页上的内容,本网对其合法性亦概不负责,亦不承担任何法律责任。