[单选题]
( )
A![]()
B![]()
C2π,2
D2π,1
参考答案:A
[单选题]设
,
成等比数列,则x等于()。
A1或-2
B1或-1
C0或-2
D-2
参考答案:C
[单选题]抛物线y2=-4上一点P到焦点的距离为4,则它的横坐标是()。
A-4
B-3
C-2
D-1
参考答案:B
[单选题]
()。
A1
Bb
Clogab
Dlogba
参考答案:D
[单选题]设α=
,则()。
Asinα>0,cosα<0
Bsinα>0,cosα>0
Csinα<0,cosα>0
Dsinα<0,cosα<0
参考答案:A
[单选题]设f(x+1)=x(x+1),则f(2)= ( )
A1
B3
C2
D6
参考答案:C
[单选题]若a>0,b>0,则
=()。
A
B
C
D
参考答案:A
[问答题]已知二次函数![]()
图像过点P(1,0),并且对于任意实数x,有f(1+x)=f(1-x)的值。
参考答案:

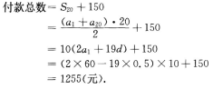
[问答题]用分期付款方式购买家用电器一件,价格为1150元,购买当天先付150元,以后每月这一天都交付50元,并加付欠款的利息,月利率为1%,若交付150元以后的第一个月开始算分期付款的第一个月,20个月全部付清.问分期付款的第十个月该交付多少钱?全部货款付清后,买这件家电实际花了多少钱?
参考答案:
购买时付了150元,欠款1000元,每月付50元,分20次付完,设每月付款数顺次组成数列{an},则a1=50+1000×0.01=60(元),
a2=50+(1000-50)×0.01
=(60-0.5)(元),
a3=50+(1000-50×2)×0.01
=(60-0.5×2)(元),
a4=50+(1000-50×3)×0.01
=(60-0.5×3)(元),
依此类推,得
a10=60-0.5×9=55.5(元),
an=60-0.5(n-1)(1≤n≤20),
所以付款数{an}组成等差数列,公差d=-0.5.全部货款付清后,

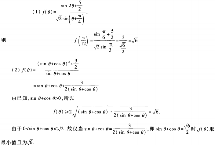
[问答题]设函数

(1)求
;(2)求函数f(θ)最小值。
参考答案:

1、凡本网注明“来源:浙江成考教育网”的所有作品,均为浙江成考教育网合法拥有版权或有权使用的作品,未经本网授权不得转载、摘编或利用其它方式使用上述作品。已经本网授权使用作品的,应在授权范围内使用,并注明“来源:浙江成考教育网”。违反上述声明者,本网将追究其相关法律责任。
2、凡本网注明“来源:XXX(非浙江成考教育网)”的作品,均转载自其它媒体,转载目的在于传递更多信息,并不代表本网赞同其观点和对其真实性负责。
3、本网不保证向用户提供的外部链接的准确性和完整性,该外部链接指向的不由本网实际控制的任何网页上的内容,本网对其合法性亦概不负责,亦不承担任何法律责任。