[单选题]已知圆的半径为R,弧长为
的弧所对的圆心角等于()。
A![]()
B
C1200
D![]()
参考答案:B
[单选题]从1、2、3、4、5、6、7、8、9这九个数字中,随机取出一个数字,这个数字是奇数的概率是()。
A![]()
B![]()
C![]()
D![]()
参考答案:B
[单选题]若a,b,c分别表示
的顶点A,B,C所对的边长,且(a+b+c)(a+b-c)=3ab,cos(A+B)=()。
A![]()
B![]()
C![]()
D![]()
参考答案:A
[单选题]

AA选项
BB选项
CC选项
DD选项
参考答案:C
[单选题]已知向量a,b满足|a|=1,|b|=4且a·b=2,则a与b的夹角为( )
A![]()
B![]()
C![]()
D![]()
参考答案:C
[单选题]若直线mx+y-1=0与直线4x+2y+1=0平行,则m=()。
A-1
B0
C2
D1
参考答案:C
[单选题]已知平面向量a=(一2,1)与b=(λ,2)垂直,则λ=( )
A-4
B-1
C1
D4
参考答案:C
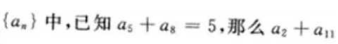
[单选题]等差数列
的值等于()
A5
B10
C15
D20
参考答案:A
[问答题]曲线y=x2-e2+1在点(0,0)处的切线方程为______.
参考答案:
x+y=0
[问答题]50件产品中有45件一级品,5件二级品,从中任取3件,取出的3件全是二级品的概率是______。
参考答案:![]()
1、凡本网注明“来源:浙江成考教育网”的所有作品,均为浙江成考教育网合法拥有版权或有权使用的作品,未经本网授权不得转载、摘编或利用其它方式使用上述作品。已经本网授权使用作品的,应在授权范围内使用,并注明“来源:浙江成考教育网”。违反上述声明者,本网将追究其相关法律责任。
2、凡本网注明“来源:XXX(非浙江成考教育网)”的作品,均转载自其它媒体,转载目的在于传递更多信息,并不代表本网赞同其观点和对其真实性负责。
3、本网不保证向用户提供的外部链接的准确性和完整性,该外部链接指向的不由本网实际控制的任何网页上的内容,本网对其合法性亦概不负责,亦不承担任何法律责任。