[单选题]下列函数图象与y=f(x)的图象关于原点对称的是()。
Ay=-f(x)
By=f(-x)
Cy=-f(-x)
Dy=|f(x)|
参考答案:C
[单选题]在∆ABC中,∠ABC=600,AB=4,BC=6,则AC=()。
A128
B76
C![]()
D![]()
参考答案:C
[单选题]不等式|x-2|<1的解集是()。
A{x|-1
B{x|-2
C{x|-3
D{x|1
参考答案:D
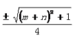
[单选题]已知tanα+sinα=m,tanα-sinα=n(m+n≠0),则cosα的值是()。
A![]()
B![]()
C
D
参考答案:A
[问答题]已知10x=3,10y=4,则103(x-y)的值等于______。
参考答案:27/64
[问答题]若28,37,x,30四个数的平均数为35,,则x=______。
参考答案:
45
[问答题](填空题)有一批相同型号的制作轴承用的滚珠,从中任意取出8个滚珠,分别测其外径,结果(单位:mm)如下:13.7,12.9,14.5,13.8,13.3,12.7,13.5,13.6,则该样本的方差为__________mm2
参考答案:

[问答题]
已知等比数列{an}的各项都是正数,且a1+a3=10,a2+a3=6。
(1)求{an}的通项公式;
(2)求{an}的前5项和。
参考答案:

[问答题]已知二次函数ƒ(x)=ax2+bx+c的图象C与x轴有两个交点,它们之间的距离为6,C的对称轴方程为x=2,且ƒ(x)有最小值-9,求: (Ⅰ)a,b,c的值; (Ⅱ)如果ƒ(x)不大于7,求对应x的取值范围.
参考答案:
(Ⅰ)由已知,抛物线的顶点坐标为(2,-9),则可设所求函数的解析式为ƒ(x)=a(x-2)2-9,由对称性知,抛物线过点(5,o),将2=5,y=0代入所设解析式,得9a-9=0,解得a=1.因为ƒ(x)=(x-2)2-9,即ƒ(x)=x2-4x-5,
所以a=1,b=-4,c=-5.
(Ⅱ)由已知ƒ(x)≤7,即x2-4x-5≤7,x2-4x-12≤0,解得-2≤x≤6.
[问答题]已知三角形的三边边长组成公差为1的等差数列,且最大角是最小角的二倍,求三边之长。
参考答案:
三角形的三边边长分别为4,5,6。
1、凡本网注明“来源:浙江成考教育网”的所有作品,均为浙江成考教育网合法拥有版权或有权使用的作品,未经本网授权不得转载、摘编或利用其它方式使用上述作品。已经本网授权使用作品的,应在授权范围内使用,并注明“来源:浙江成考教育网”。违反上述声明者,本网将追究其相关法律责任。
2、凡本网注明“来源:XXX(非浙江成考教育网)”的作品,均转载自其它媒体,转载目的在于传递更多信息,并不代表本网赞同其观点和对其真实性负责。
3、本网不保证向用户提供的外部链接的准确性和完整性,该外部链接指向的不由本网实际控制的任何网页上的内容,本网对其合法性亦概不负责,亦不承担任何法律责任。